| 国際特許取得・国際医学誌に掲載 米国際学会から講演依頼 認知症の原因“炎症”を免疫学的アプローチで臨床的に証明 |
| 日本では472万人、世界では3900万人のアルツハイマー型認知症は、介護負担や医療費の増大が深刻な社会問題となっている。こうした中、鹿児島市の霜出義輝内科クリニック院長で免疫学者の霜出義輝博士が、炎症を正常化することにより不可能とされた認知機能低下の患者さんにおいて認知機能の改善が見られる画期的な成果を2025年7月に国際医学誌に発表し、アルツハイマー型認知症、軽度認知障害の原因が炎症であることが世界的に認められ、2026年7月6日から8日に米国ボストンで開催されるの「11thNeurological Disorders Summit(NDS-2026)」での講演の依頼を受けた。 | |||||
|
|||||
| YoshitertruShimoide.: Current Traditional Medicine, 12,2025, | |||||
| DOI: 10.2174/0122150838396773250720081201 より改変 | |||||
| ■ 国際医学誌に掲載:アルツハイマー型認知症の原因は“炎症”であると臨床的に証明 | |||||
|
本研究成果は査読付き国際医学ジャーナル 「Current Traditional Medicine」(2025年7月号) に掲載された。 |
|||||
|
論文URL:https://www.eurekaselect.com/article/149739 DOI: 10.2174/0122150838396773250720081201 |
|||||
|
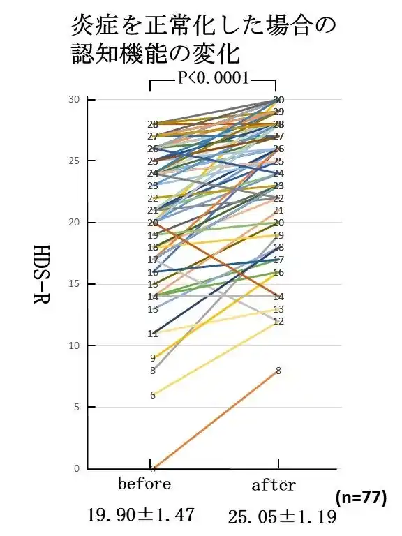
霜出医師は、アルツハイマー型認知症の原因がアミロイドβではなく、脳内の慢性炎症であることを臨床的に明確にした。 本研究は、炎症を正常化する漢方薬を77例の患者に平均948±248日投与し、その期間中の認知機能をHDS-Rで経過観察したデータを解析したものである(詳細は論文参照)。 |
|||||
| この成果は、2015年に The Lancet 誌でHenekaら37名が提唱した「脳炎症仮説」を、世界で初めて臨床データにより裏付けたものとなる。 | |||||
| 【国際学会からの講演依頼】 | |||||
| 本研究成果が国際的に注目され、2026年7月6日~8日に米国ボストンで開催される「11th Neurological Disorders Summit(NDS-2026)」より、霜出院長に招待講演の依頼がありました。 | |||||
| 同サミットは、アルツハイマー病、認知症、パーキンソン病、神経変性疾患、脳卒中、てんかんなどを扱う国際学術会議で、過去には40か国以上から3,500名を超える専門家が参加しています。今回の講演依頼は、今、最も知るべき学問的事実として脳炎症研究が海外の専門家からも高く評価されていることを示すものです。 | |||||
| ■ 新しい作用機序:炎症性マクロファージ(M1)を抗炎症型(M2)へ転換 | |||||
|
RO‑8は、免疫学的炎症を正常化するという全く新しい作用を持つ。 炎症性マクロファージ(M1)を抗炎症性マクロファージ(M2)へ変化させ、 脳内炎症を抑制することで認知機能を回復させる。 |
|||||
| ■ 国際特許を取得(米国・日本・EU・英国)RO‑8は以下の国際特許を取得済み。 | |||||
| 米国特許:US 10,660,929 B2 / US 11,110,142 B2 | |||||
| EU特許(英国を含む):3545964 日本特許:6401414 / 6691182 / 6154566 | |||||
| ■ 開発者コメント | |||||
|
「約20年前からアルツハイマー型認知症に免疫応答が関与していると考えていました。 炎症を正常化させることで認知機能が回復する患者さんを目の当たりにし、今回の研究成果につながりました。今後は日本国内で協力医療機関との連携を深め、患者さんとご家族のために治療を広げていきたいと考えています。」 |
|||||
| ■ 医療機関情報 | |||||
| 霜出義輝内科クリニック | |||||
|
|||||
|
鹿児島市下荒田3-39-9 院長:霜出義輝(医学博士・免疫学者) ・日本内科学会認定内科医 ・日本消化器病学会専門医 ・日本肝臓病学会専門医 ・日本東洋医学学会専門医 |
|||||
|
URL:http://www.yshimoide.com YouTube:「YouTubeで公開中の動画素材は無償提供します」 https://www.youtube.com/watch?v=WZ_dHITALqQ https://www.youtube.com/watch?v=U4iaGLW41f4 |
|||||